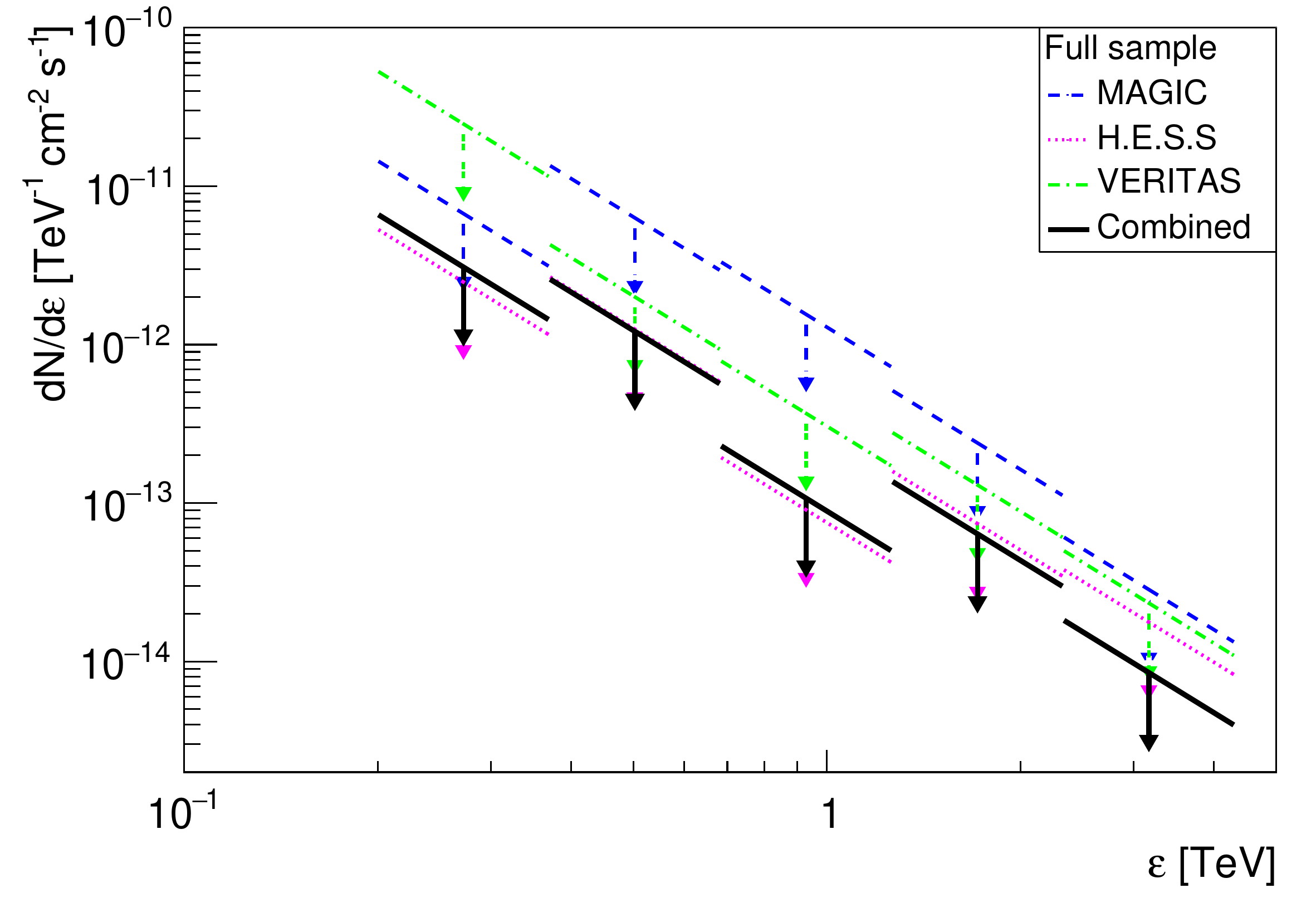
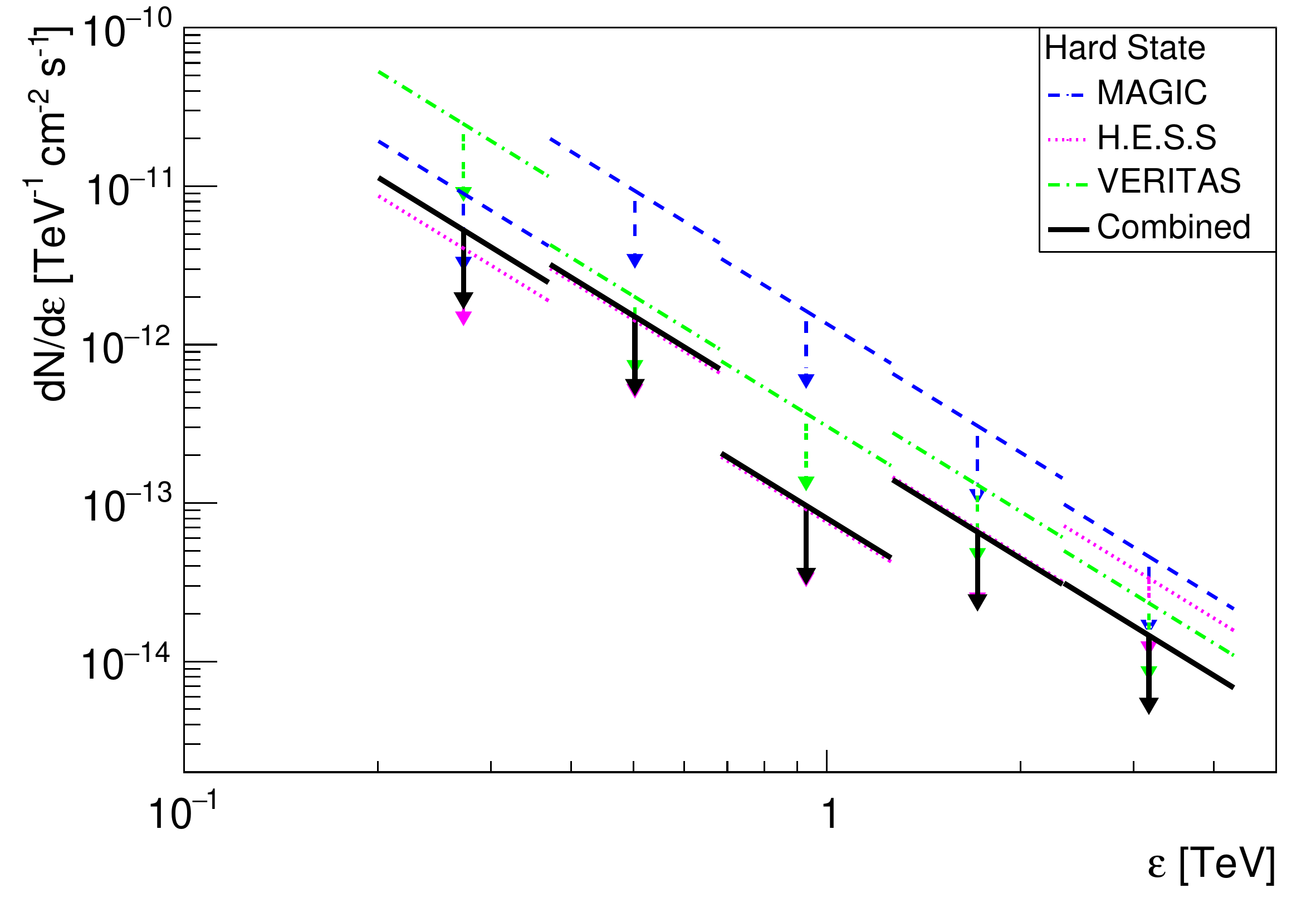
MAXI J1820+070 is a low-mass X-ray binary with a black hole (BH) as a compact object. This binary underwent an exceptionally bright X-ray outburst from 2018 March to October, showing evidence of a non-thermal particle population through its radio emission during this whole period. The combined results of 59.5 h of observations of the MAXI J1820+070 outburst with the H.E.S.S., MAGIC and VERITAS experiments at energies above 200 GeV are presented, together with Fermi-LAT data between 0.1 and 500 GeV, and multiwavelength observations from radio to X-rays. Gamma-ray emission is not detected from MAXI J1820+070, but the obtained upper limits and the multiwavelength data allow us to put meaningful constraints on the source properties under reasonable assumptions regarding the non-thermal particle population and the jet synchrotron spectrum. In particular, it is possible to show that, if a high-energy (HE) gamma-ray emitting region is present during the hard state of the source, its predicted flux should be at most a factor of 20 below the obtained Fermi-LAT upper limits, and closer to them for magnetic fields significantly below equipartition. During the state transitions, under the plausible assumption that electrons are accelerated up to ∼500 GeV, the multiwavelength data and the gamma-ray upper limits lead consistently to the conclusion that a potential HE and very-HE gamma-ray emitting region should be located at a distance from the BH ranging between 1011 and 1013 cm. Similar outbursts from low-mass X-ray binaries might be detectable in the near future with upcoming instruments such as CTA.










