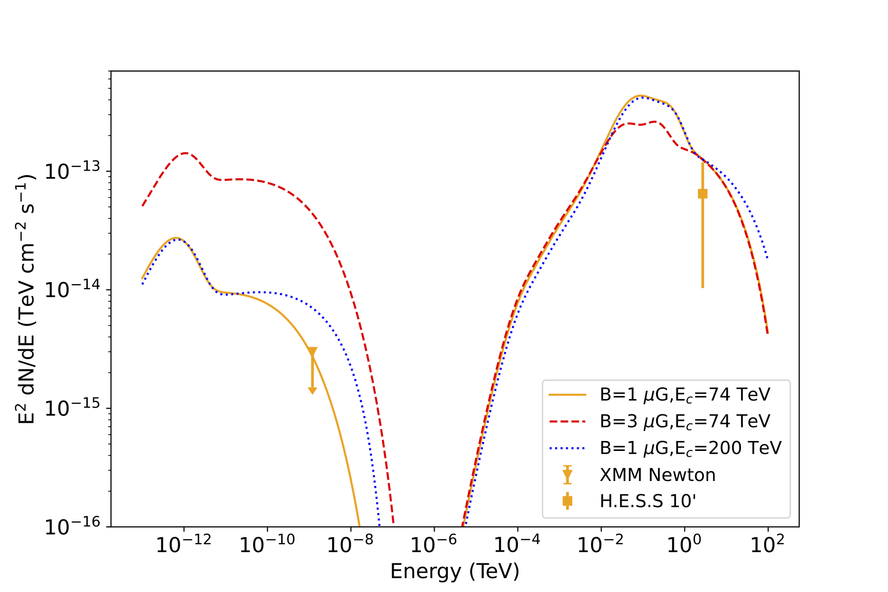
Geminga is an enigmatic radio-quiet γ-ray pulsar located at a mere 250 pc distance from Earth. Extended very-high-energy γ-ray emission around the pulsar was discovered by Milagro and later confirmed by HAWC, which are both water Cherenkov detector-based experiments. However, evidence for the Geminga pulsar wind nebula in gamma rays has long evaded detection by imaging atmospheric Cherenkov telescopes (IACTs) despite targeted observations. The detection of γ-ray emission on angular scales ≳2º poses a considerable challenge for the background estimation in IACT data analysis. With recent developments in understanding the complementary background estimation techniques of water Cherenkov and atmospheric Cherenkov instruments, the H.E.S.S. IACT array can now confirm the detection of highly extended γ-ray emission around the Geminga pulsar with a radius of at least 3º in the energy range 0.5–40 TeV. We find no indications for statistically significant asymmetries or energy-dependent morphology. A flux normalisation of (2.8 ± 0.7) × 10−12 cm−2 s−1 TeV−1 at 1 TeV is obtained within a 1º radius region around the pulsar. To investigate the particle transport within the halo of energetic leptons around the pulsar, we fitted an electron diffusion model to the data. The normalisation of the diffusion coefficient obtained of D0 = 7.6−1.2+1.5 × 1027 cm2 s−1, at an electron energy of 100 TeV, is compatible with values previously reported for the pulsar halo around Geminga, which is considerably below the Galactic average.




















