Context. We present a detailed view of the pulsar wind nebula (PWN) HESS J1825–137. We aim to constrain the mechanisms dominating the particle transport within the nebula, accounting for its anomalously large size and spectral characteristics.
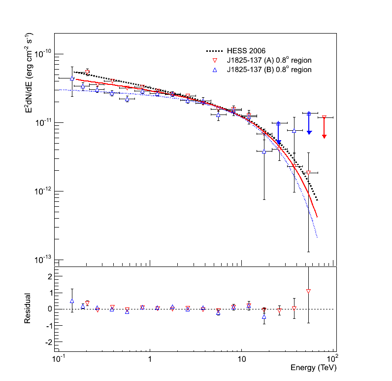
Aims. The nebula was studied using a deep exposure from over 12 years of H.E.S.S. I operation, together with data from H.E.S.S. II that improve the low-energy sensitivity. Enhanced energy-dependent morphological and spatially resolved spectral analyses probe the very high energy (VHE, E > 0.1 TeV) γ-ray properties of the nebula.
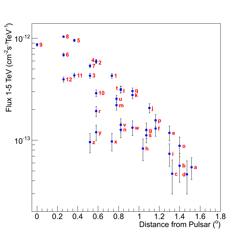
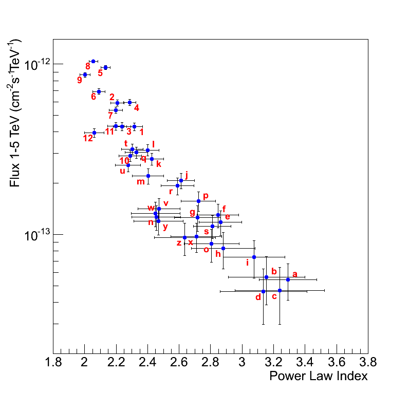
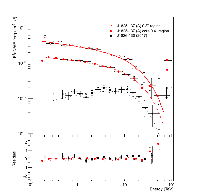
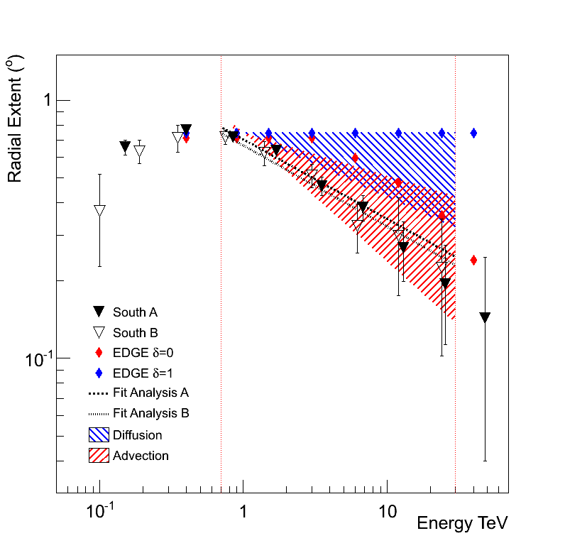
Methods. The nebula emission is revealed to extend out to 1.5° from the pulsar, ~1.5 times farther than previously seen, making HESS J1825–137, with an intrinsic diameter of ~100 pc, potentially the largest γ-ray PWN currently known. Characterising the strongly energy-dependent morphology of the nebula enables us to constrain the particle transport mechanisms. A dependence of the nebula extent with energy of R ∝ Eα with α = −0.29 ± 0.04stat ± 0.05sys disfavours a pure diffusion scenario for particle transport within the nebula. The total γ-ray flux of the nebula above 1 TeV is found to be (1.12 ± 0.03stat ± 0.25sys) × 10−11 cm−2 s−1, corresponding to ~64% of the flux of the Crab nebula.
Results. HESS J1825–137 is a PWN with clearly energy-dependent morphology at VHE γ-ray energies. This source is used as a laboratory to investigate particle transport within intermediate-age PWNe. Based on deep observations of this highly spatially extended PWN, we produce a spectral map of the region that provides insights into the spectral variation within the nebula.

