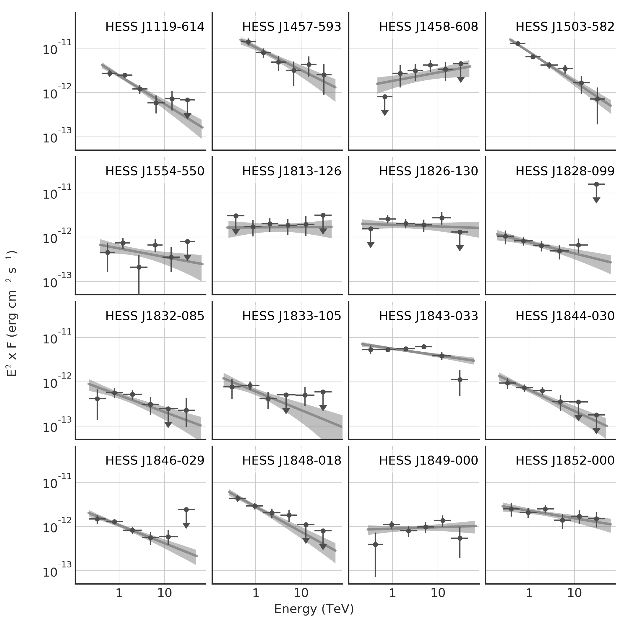
We present the results of the most comprehensive survey of the Galactic plane in very high-energy (VHE) γ-rays, including a public release of Galactic sky maps, a catalog of VHE sources, and the discovery of 16 new sources of VHE γ-rays. The High Energy Spectroscopic System (H.E.S.S.) Galactic plane survey (HGPS) was a decade-long observation program carried out by the H.E.S.S. I array of Cherenkov telescopes in Namibia from 2004 to 2013. The observations amount to nearly 2700 h of quality-selected data, covering the Galactic plane at longitudes from ℓ = 250° to 65° and latitudes |b|≤ 3°. In addition to the unprecedented spatial coverage, the HGPS also features a relatively high angular resolution (0.08° ≈ 5 arcmin mean point spread function 68% containment radius), sensitivity (≲1.5% Crab flux for point-like sources), and energy range (0.2–100 TeV). We constructed a catalog of VHE γ-ray sources from the HGPS data set with a systematic procedure for both source detection and characterization of morphology and spectrum. We present this likelihood-based method in detail, including the introduction of a model component to account for unresolved, large-scale emission along the Galactic plane. In total, the resulting HGPS catalog contains 78 VHE sources, of which 14 are not reanalyzed here, for example, due to their complex morphology, namely shell-like sources and the Galactic center region. Where possible, we provide a firm identification of the VHE source or plausible associations with sources in other astronomical catalogs. We also studied the characteristics of the VHE sources with source parameter distributions. 16 new sources were previously unknown or unpublished, and we individually discuss their identifications or possible associations. We firmly identified 31 sources as pulsar wind nebulae (PWNe), supernova remnants (SNRs), composite SNRs, or gamma-ray binaries. Among the 47 sources not yet identified, most of them (36) have possible associations with cataloged objects, notably PWNe and energetic pulsars that could power VHE PWNe.

